“The Federal Circuit’s reasoning in Biogen v. Banner appears to be as follows: Section 156 defines a drug product as the active ingredient of a drug, including any salt or ester of the active ingredient…. [Here], while monomethyl fumarate might be an active metabolite, it is not on the drug’s label, its quantity is not mentioned, and it is not present in the drug product when administered.”
Section 156 of the Hatch-Waxman Act provides for restoring some of a patent’s term consumed during clinical testing and Food and Drug Administration (FDA) review of a New Drug Application (NDA) for a product covered by the patent. The extension afforded under Section 156 is of great importance to a drug manufacturer given that development of a new drug from discovery through FDA approval often takes a decade or more (10-15 years), leading to the loss of a significant portion of the term of a patent covering the drug. The dispute in Biogen International Gmbh v. Banner Life Sciences LLC, No. 2020-1373 (Fed. Cir. April 21, 2020) (Biogen v. Banner) centers around the very meaning of the term “product” as used in Section 156.
The Hatch-Waxman Patent Term Extension Statute
35 USC § 156 sets forth the patent term extension (PTE) provisions of the Hatch-Waxman Act. Section 156(a) describes the general requirements for patent term extension, including that the product is one that was subject to a regulatory review period, and that the permission to commercially market the product was the first permitted commercial marketing or use of the product; the term of the patent must not have been extended before; and that the extended rights are limited to the any use claimed by the patent and approved for the product. Section 156(f) defines “product” as including drug products, and specifically “the active ingredient of . . . a new drug . . . including any salt or ester of the active ingredient[.]”
Background
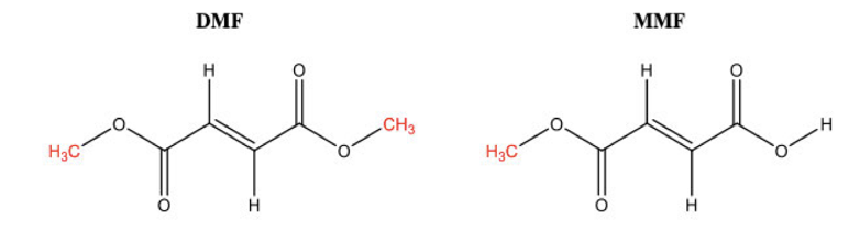
Biogen holds the NDA for the active ingredient dimethyl fumarate (DMF), approved by the FDA as Tecfidera® for the treatment of patients with relapsing forms of multiple sclerosis. Biogen v. Banner at 2. When administered to a patient, one of DMF’s two methyl ester groups is readily metabolized to a carboxylic acid group, yielding monomethyl fumarate (“MMF”), before the compound reaches its pharmacological site of action. Id. U.S. Patent No. 7,619,001 (“the ’001 patent”) is listed in the Orange Book for Tecfidera®. DMF and MMF have the following chemical structures.

The claims of the ’001 patent are directed to methods of treating multiple sclerosis by administering a pharmaceutical preparation comprising DMF, MMF, or a combination of the two. The term of the ’001 patent was extended by 811 days under section 156 to compensate Biogen for the time taken by the FDA for reviewing the Tecfidera® NDA. Upon expiry of the five-year data exclusivity period for Tecfidera®, Banner submitted an application for marketing generic MMF, relying on the clinical data submitted by Biogen in its Tecfidera® NDA.
District Court
In response to Banner’s generic application, Biogen asserted the ’001 patent against Banner in Delaware district court. Banner moved for a judgment of non-infringement under Rule 12(c), arguing that section 156(b)(2) limits the scope of the ’001 patent’s extension to methods of using the approved product as defined in § 156(f). As the approved product is DMF, its salts, or its esters, Banner argued that the ’001 patent’s PTE did not apply to MMF.
Biogen’s response included two arguments: First, section 156(b)(2) does not limit extension of a method of treatment patent only to uses of the approved product, but instead only to uses of any product within the original scope of the claims; and second, “product” as used in section 156 has a broader meaning encompassing any compound that shares with the approved product an “active moiety,” based in part on FDA’s regulations surrounding NCE exclusivity. See id. at 4. Those regulations define “active moiety” as “the molecule or ion, excluding those appended portions of the molecule that cause the drug to be an ester, salt, or other noncovalent derivative … of the molecule, responsible for the physiological or pharmacological action of the drug substance.” See 21 C.F.R. 314.3(b). Thus, Biogen argued that DMF and MMF share an active moiety, i.e., MMF, and thus Banner’s product infringed the ’001 patent even as extended. Id. at 5. The district court rejected both of Biogen’s arguments and rendered a judgment of non-infringement, and Biogen appealed.
Federal Circuit
The question on the appeal was whether MMF, covered by the claims, was covered also by the extension. To support the interpretation of “product” as an “active moiety,” Biogen relied on Pfizer Inc. v. Dr. Reddy’s Labs., Ltd., 359 F.3d 1361 (Fed. Cir. 2004) (“Pfizer”). Pfizer is highly relevant to Biogen v. Banner as will become clear from the discussion below. In Pfizer, the patent at issue included claims covering compounds having the common name amlodipine and its salts. Pfizer’s application to the PTO requesting term extension under 35 U.S.C. § 156 identified the product for which regulatory approval had been obtained as Norvasc®, and stated that Norvasc® was “further identified” as amlodipine besylate. Pfizer at 1364. The structure below shows amlodipine on the left and benzene sulfonic acid (besylate) on the right:

Dr. Reddy’s sought FDA approval for marketing generic amlodipine maleate for the same uses as Pfizer. Dr. Reddy’s admitted that amlodipine maleate was covered by the claims of Pfizer’s patent but argued that the term extension applied only to the registered besylate salt.
Pfizer’s position was that a changed salt did not affect the therapeutically active agent, i.e., amlodipine, and thus, amlodipine maleate, another salt, was covered under the extended term. Id. at 1365. The Federal Circuit agreed with Pfizer and concluded that the active ingredient was amlodipine, which was the same whether administered as the besylate or the maleate salt and both were therefore covered by the term extension. Id. at 1366. The court explained:
The FDA ruled that “the term ‘active ingredient’ as used in the phrase ‘active ingredient including any salt or ester of the active ingredient’ means active moiety.” Abbreviated New Drug Application Regulations: Patent and Exclusivity Provisions, 59 Fed. Reg. 50,338, 50,358 (F.D.A. Oct. 3, 1994). The FDA has defined “active moiety” as “the molecule or ion, excluding those appended portions of the molecule that cause the drug to be an ester, salt ..? responsible for the physiological or pharmacological action of the drug substance.” 21 C.F.R. § 314.108(a). Id. [instead, see 21 C.F.R. § 314.3(a) for the definition]
The Federal Circuit in Banner v. Biogen, however, noted that section 156(f) plainly defined “product” not as the active moiety but as the active ingredient or an ester or salt thereof (citing Glaxo Ops. UK Ltd. v. Quigg, 894 F.2d 392 (Fed. Cir. 1990)). As DMF was the ester of MMF, and not vice versa, the Federal Circuit concluded that MMF did not fall within the scope of the ’001’s patent term extension. See Banner v. Biogen at 8.
In distinguishing Pfizer in the Banner v. Biogen case, the Federal Circuit stated that Pfizer “considered whether an extension for amlodipine encompassed a § 505(b)(2) applicant’s amlodipine maleate product under § 156(b)(2). We held that it did because amlodipine maleate is a salt of the active ingredient., amlodipine, and was therefore the same product under § 156(f).” The Federal Circuit, however, did not address the fact that, in Pfizer, the approved product was amlodipine besylate, not amlodipine. Biogen’s denied petition for rehearing en banc pointed to this discrepancy: the petition specifically noted that the panel’s ability to distinguish Pfizer hinged on the court’s acceptance of the approved product being the active moiety amlodipine, not amlodipine besylate (the approved product).
In apparent contrast to Pfizer, in Biogen v. Banner, the Federal Circuit refused to regard MMF as the active moiety, leading thereby to a finding of non-infringement, which is opposite of its finding in Pfizer. The Court noted that “the active ingredient of a given drug product is defined by what is approved and is specified on the drug’s label.” Id. at 7. Because MMF was not specified as the active ingredient on the Tecfidera® label, it was not the active ingredient. And, while the statutory definition of what can be extended includes esters, MMF is the de-esterified form of DMF. Thus, MMF was not the same product under §156(f) and did not fall within the scope of the ’001 patent’s term extension under § 156(b)(2). Biogen v. Banner at 7-8.
Discussion
The Federal Circuit’s reasoning in Biogen v. Banner appears to be as follows: Section 156 defines a drug product as the active ingredient of a drug, including any salt or ester of the active ingredient. The active ingredient and its quantity must be specified on the drug’s label. Further, the active ingredient must be present in the drug product when administered. In Biogen v. Banner, the approved drug was DMF, and while MMF might be an active metabolite, it is not on the drug’s label, its quantity is not mentioned, and it is not present in the drug product when administered. Therefore, MMF could not get the benefit of PTE under 35 USC § 156.
Ultimately, Banner, in light of Pfizer, seems to stand for the proposition that while PTE for a patent covering an approved active ingredient may also extend to an ester prodrug of that active ingredient, if the approved active ingredient is an ester prodrug, PTE may not extend to the corresponding active metabolite.

Join the Discussion
No comments yet.